2025학년도 9월 모의고사 수학 22번 풀이 (250922 풀이)
안녕하세요 수학올인입니다.
이번 포스팅에서는 2025학년도 9월 모의고사 수학 22번 문제를 다뤄보겠습니다.
풀이는 역추적과 정추적을 둘 다 다뤄보겠습니다.
문제

풀이
역추적을 이용한 풀이)
먼저 $a_5 = 0$으로 쓸 수 있고, 첨자가 하나 낮아질 때 마다 $\frac{2}{3}k$를 더하거나, $-\frac{1}{k}$가 곱해지는 규칙을 통해
수열의 이전 항을 얻을 수 있다. 이를 통해 수형도를 그리면 다음과 같다.

이제 조건을 만족하는 경우 (번호가 부여된 케이스)에 대해 이어서 진행하면 아래와 같다.

이상에서 구하는 값은 $8$이다.
정추적을 이용한 풀이)
가장 먼저 (나)를 이용하면
$$a_{n+1} = a_n - \frac{2}{3}k$$
이거나
$$a_{n+1} = -ka_n$$
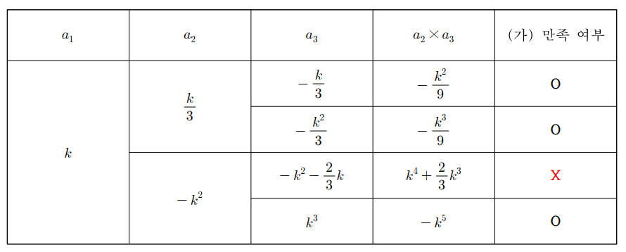
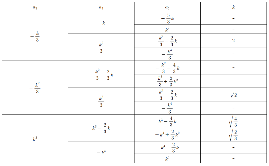
임을 알 수 있다. 이를 통해 $a_3$까지의 값을 구해보면 다음과 같다.

이제 $k>0$임을 고려했을 때 (가)를 만족시키는 경우는 네 경우 중 세 경우 뿐임을 알 수 있다.
이 세 경우에 대해 다시 열심히 노가다를 해서 $a_5$를 구해보면 다음과 같다.

따라서 조건을 만족시키는 $k^2$의 값의 합은
$$4+2+\frac{4}{3} + \frac{2}{3} = 8$$
이다.
풀이의 표(수형도)에는 거의 모든 경우를 나열했지만 조건을 만족하지 않는 것이 뻔히 보이는 부분은
나열하지 않는다면 훨씬 간단하게 풀이할 수 있을 것입니다.
블로그에서 다룬 2025학년도 9월 모의고사 문제
(클릭시 이동)
- 2025학년도 9월 모의고사 수학 15번
- 2025학년도 9월 모의고사 수학 21번
- 2025학년도 9월 모의고사 수학 22번 (현재)
- 2025학년도 9월 모의고사 수학(미적분) 28번
- 2025학년도 9월 모의고사 수학(미적분) 29번
- 2025학년도 9월 모의고사 수학(미적분) 30번
'문제풀이 > 평가원, 교육청, 사관학교, 경찰대' 카테고리의 다른 글
| 2025학년도 9월 모의고사 수학 15번 풀이 (250915 풀이) (2) | 2024.09.04 |
|---|---|
| 2025학년도 9월 모의고사 수학 21번 풀이 (250921 풀이) (0) | 2024.09.04 |
| 2025학년도 9월 모의고사 수학(미적분) 28번 풀이 (250928 풀이) (0) | 2024.09.04 |
| 2025학년도 9월 모의고사 수학(미적분) 29번 풀이 (250929 풀이) (0) | 2024.09.04 |
| 2025학년도 9월 모의고사 수학(미적분) 30번 풀이 (250930 풀이) (0) | 2024.09.04 |