[편입] 2021 항공대학교 편입수학 기출문제 정답 및 해설 (풀이)
안녕하세요 수학올인입니다.
이번 포스팅에선 2021년 항공대학교 편입수학 기출문제의 정답과 풀이를 다뤄보겠습니다.
풀이는 전부 제 풀이이며, 따라서 오타나 오류가 있을 수 있습니다.
원본 시험지는 제가 공유하지 않으며, 항공대학교 입학처에서 확인하실 수 있습니다.
항공대의 경우 최근 2~3년 문제지만 공유하며, 년도가 바뀔 때마다 시험지를 입학처 홈페이지에서 삭제합니다.
따라서 시험지가 필요하신 분은 미리 입학처에서 다운로드를 받아두시기 바랍니다.
(항공대학교 입학처 - 편입학 - 지난기출문제)
2021년도가 아닌 다른 년도의 정답 및 해설은 글 가장 아래에 정리되어 있습니다.
2021 항공대학교 편입수학 기출문제 빠른 정답

빠른 정답은 위 사진을 참고해 주시고, 아래는 문항별 풀이입니다.
2021 항공대학교 편입수학 기출문제 1번 풀이
주어진 미분방정식은 완전미분방정식이므로 적분하면
$$x^3 + x^2 y+2y = C = 7$$
에서 $x=2$를 대입하면
$$8 + 6y(2) = 7\quad\Longrightarrow\quad y(2) = -\frac{1}{6}$$
이다.
2021 항공대학교 편입수학 기출문제 2번 풀이
행렬 $A$의 고유특성다항식을 구해보면
$$\lambda^3 - 6\lambda^2 + 11\lambda -6 = 0$$
에서 $\lambda = 1,2,3$이다.
따라서 행렬 $A^5$의 고유치는
$$\lambda = 1 , 2^5, 3^5$$
이고, 따라서 가장 큰 것에서 가장 작은 것을 뺀 값은 $242$이다.
2021 항공대학교 편입수학 기출문제 3번 풀이
ㄱ. 적분판정법으로부터 수렴한다.
ㄴ. 일반항의 극한이 $0$이 아니므로 발산한다.
ㄷ. $\ln n$을 무시하면 발산한다.
ㄹ. 근판정법으로부터 수렴한다.
2021 항공대학교 편입수학 기출문제 4번 풀이
원뿔나선
$$r(t) = (a\cos t,a\sin t, bt)$$
의 곡률 $\kappa$는
$$\kappa = \frac{a}{a^2 + b^2}$$
이다. 대입하면 구하는 곡률은 $\frac{1}{4}$이다.
2021 항공대학교 편입수학 기출문제 5번 풀이
$L^{-1}(2,3,-1)=(a,b,c)$라고 하면, $L(a,b,c)=(2,3,-1)$이다. 따라서
$$ \begin{cases}
2a+b-c = 2 & \\
a+3b-2c = 3 & \\
a + c = -1 &
\end{cases}$$
이고, 이를 풀면
$$a=\frac{1}{3}, b=0, c=-\frac{4}{3}$$
이므로, $a+b+c=-1$이다.
2021 항공대학교 편입수학 기출문제 6번 풀이
ㄱ. 경로 $x=0$을 택하면 극한값은 $0$이고, $y=x$를 택하면 극한값은 $\frac{1}{2}$이다.
두 경로에 대한 극한값이 존재하지 않으므로 주어진 함수의 극한은 존재하지 않는다.
ㄴ. 점 $(0, 0)$을 제외하면 전부 연속함수들의 곱으로 표현되므로 연속이 맞다.
ㄷ. 정의로부터
$$\begin{align}
f_x(0, 0) &= \lim_{h\to 0}\frac{f(h,0) - f(0,0)}{h} \\
&= \lim_{h\to 0}\frac{0}{h} \\
&= 0
\end{align}$$
이다.
ㄹ. 계산해보면 아니다.
2021 항공대학교 편입수학 기출문제 7번 풀이
벡터장
$$F(x,y) = \left(-\frac{y}{x^2 + y^2}, \frac{x}{x^2 + y^2}\right)$$
은 원점을 포함하는 임의의 반시계방향으로 한바퀴 도는 폐곡선에 대한 선적분값이 $2\pi$이다.
한편 주어진 경로는 원점을 반시계방향으로 한 번 도는 폐곡선이므로 선적분값은 $2\pi$이다.
2021 항공대학교 편입수학 기출문제 8번 풀이
주어진 코시-오일러 미분방정식을 상수계수로 변환하면
$$y''-4y'+3y=0,\quad y(0)=2, y'(0)=0$$
이다. 이제 $y(t)$의 라플라스변환을 $Y$라고 하고 라플라스변환하면
$$\begin{align}
Y &= \frac{2s-8}{(s-1)(s-3)} \\
&= \frac{3}{s-1} - \frac{1}{s-3}
\end{align}$$
이므로, 역변환하면
$$y(t) = 3e^t - e^{3t}$$
이다. 이제 상수계수로의 변환과정을 역으로 되돌리면
$$y = 3x - x^3$$
이고, $y(2) = -2$이다.
2021 항공대학교 편입수학 기출문제 9번 풀이
주어진 미분방정식의 특수해를 역연산자와 소멸연산자를 이용하여 구해보면
$$\begin{align}
y_p &= \frac{1}{D^2 + 2D + 1}\left\{\cos x\right\} \\
&= \frac{1}{2D}\left\{\cos x\right\} \\
&= \frac{D}{2D^2}\left\{\cos x\right\} \\
&= -\frac{D}{2}\left\{\cos x\right\} \\
&= \frac{1}{2}\sin x
\end{align}$$
이므로, 주어진 제차해는 미분방정식
$$y''+2y'+y=0, y(0)=\frac{1}{2}, y'(0)=-\frac{1}{\pi} - \frac{1}{2}$$
를 만족시킨다. 이는 라플라스변환으로 해결할 수 있다.
제차해 $y_c(x)$의 라플라스변환을 $Y$라 하고 양변을 라플라스변환하면
$$\begin{align}
Y &= \frac{\frac{s}{2} - \frac{1}{\pi} - \frac{1}{2} + 1}{(s+1)^2} \\
&= \frac{1}{2} \times \frac{1}{s+1} - \frac{1}{\pi (s+1)^2}
\end{align}$$
이므로, 다시 역변환하면
$$y_c = e^{-x}\left(\frac{1}{2}- \frac{x}{\pi}\right)$$
이다. 즉, 주어진 미분방정식의 해 $y$는
$$y = y_c + y_p = \frac{1}{2}\sin x + e^{-x}\left(\frac{1}{2}- \frac{x}{\pi}\right)$$
이고, $y\left(\frac{\pi}{2}\right) = \frac{1}{2}$이다.
2021 항공대학교 편입수학 기출문제 10번 풀이
주어진 미분방정식은 일계 선형 미분방정식이므로 공식으로부터
$$\begin{align}
y &= e^{x^2}\left(\int x^3 e^{-x^2}dx + C\right) \\
&= e^{x^2}\left(-\frac{1}{2}e^{-x^2} (x^2 + 1) + C\right) \\
&= e^{x^2}\left(-\frac{1}{2}e^{-x^2} (x^2 + 1) + 1\right) \\
&= e^{x^2} - \frac{x^2 + 1}{2}
\end{align}$$
이고, $y(1) = e-1$이다.
2021 항공대학교 편입수학 기출문제 11번 풀이
정적분과 급수의 관계를 이용하면 주어진 극한값은
$$\int_0^{\frac{\pi}{4}} \tan^3 xdx$$
와 같다. 한편 $\tan^2 x + 1 = \sec^2 x$임을 이용하면 위의 적분은
$$\begin{align}
\text{(Integral)} &= \int_0^{\frac{\pi}{4}} (\tan x\sec^2 x - \tan x)dx \\
&= \frac{1}{2}\tan^2 x+\ln\cos x\bigg|_0^{\frac{\pi}{4}} \\
&= \frac{1}{2}-\frac{\ln 2}{2}
\end{align}$$
이다.
2021 항공대학교 편입수학 기출문제 12번 풀이
행렬 $A^{10}$의 모든 성분의 합은
$$A^{10} \begin{pmatrix}
1 \\
1
\end{pmatrix} = \begin{pmatrix}
p \\
q
\end{pmatrix} $$
라고 했을 때 $p+q$의 값과 같다.
이제 벡터 $(1 1)^T$이 행렬 $A$의 고유벡터인지 확인해보기 위해 곱해보면
$$A \begin{pmatrix}
1 \\
1
\end{pmatrix} = \begin{pmatrix}
1 \\
1
\end{pmatrix}$$
이므로 고유치 $1$에 대응하는 고유벡터이다. 따라서
$$A^{10} \begin{pmatrix}
1 \\
1
\end{pmatrix} = \begin{pmatrix}
1 \\
1
\end{pmatrix}$$
이고, 구하는 모든 성분의 합은 $2$이다.
2021 항공대학교 편입수학 기출문제 13번 풀이
[풀이 1]
코시 슈바르츠 부등식으로부터
$$\begin{align}
& (a^2 + 1)(17^2 + 9^2) \geq (17a+ 9)^2 \\
& (b^2 + 9)(17^2 + 9^2) \geq (17b + 27)^2 \\
& (b^2 + 9)(17^2 + 9^2) \geq (17c + 45)^2
\end{align}$$
이 성립한다. 위 부등식 각각에 루트를 씌운 뒤 식을 정리하면
$$\begin{align}
& \sqrt{a^2 + 1} \geq \frac{17a + 9}{\sqrt{370}} \\
& \sqrt{b^2 + 9} \geq \frac{17b + 27}{\sqrt{370}} \\
& \sqrt{c^2 + 25} \geq \frac{17c + 45}{\sqrt{370}}
\end{align}$$
이므로 변변끼리 더하면
$$\begin{align}
& \sqrt{a^2 + 1}+\sqrt{b^2 + 9} + \sqrt{c^2 + 25} \\
&\geq \frac{17(a+b+c) + 81}{\sqrt{370}} \\
&= \frac{17\times 17 + 81}{\sqrt{370}} \\
&= \sqrt{370}
\end{align}$$
이므로 최솟값은 $\sqrt{370}$이다. 등호는
$$a=\frac{17}{9}, b=\frac{51}{9}, c=\frac{85}{9}$$
일 때 성립한다.
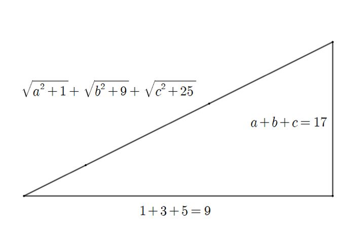
[풀이 2]
다음과 같은 세 직각삼각형을 생각하자.

그러면 구하는 길이는 빗변의 길이의 합과 같다.
그런데 위의 세 삼각형을 포함하는 아래와 같은 큰 직각삼각형을 생각할 수 있다.

따라서 구하는 최솟값은 피타고라스 정리에 의하여 $\sqrt{370}$이다.
[풀이 3]
라그랑주 승수법을 이용한다. (계산 생략)
2021 항공대학교 편입수학 기출문제 14번 풀이
새로운 함수 $u(t) = y_1(t) + y_2(t)$를 정의하면 $u(0) = 0$이다.
이를 만족하는 선지는 3번, 4번이다.
이제 주어진 연립미분방정식에 $t=0$을 대입하면 $y_1 '(0) = -3, y_2 '(0) = -2$이므로
$u'(0)= -5$이다. 이를 만족하는 선지는 $4$번이다.
따라서 정답은 $4$번이다.
2021 항공대학교 편입수학 기출문제 15번 풀이
역연산자와 소멸연산자를 이용하여 특수해를 구하면
$$\begin{align}
y_p &= \frac{1}{(D-3)(D+1)}\left\{17e^{-t}\cos t\right\} \\
&= \frac{17e^{-t}}{D^2 - 4D}\left\{\cos t\right\} \\
&= \frac{-17e^{-t}}{4D + 1}\left\{\cos t\right\} \\
&= \frac{-17e^{-t}}{16D^2 - 1}(4D-1)\left\{\cos t\right\} \\
&= e^{-t}(4D-1)\left\{\cos t\right\} \\
&= -e^{-t}(4\sin t+\cos t)
\end{align}$$
이다. 한편 $y_p (0)=-1, y_p '(0) = -3$을 만족하므로 주어진 미분방정식의 제차해는
$$y''-2y'-3y=0, y(0)=1, y'(0)=3$$
을 만족시켜야 하고 이는 라플라스변환을 이용하여 해결할 수 있다.
제차해 $y_c$의 라플라스변환을 $Y$라 하고 양변을 라플라스변환하면
$$\begin{align}
Y &= \frac{s+3-2}{(s-3)(s+1)} \\
&= \frac{1}{s-3}
\end{align}$$
이므로 역변환하면 $y_c = e^{3t}$이다. 따라서 주어진 미분방정식의 해는
$$y=y_c + y_p = e^{3t} - e^{-t}(4\sin t+\cos t)$$
이고 $t=\frac{\pi}{2}$를 대입하면
$$y\left(\frac{\pi}{2}\right) = e^{\frac{3}{2}\pi} - 4e^{-\frac{\pi}{2}}$$
이다.
2021 항공대학교 편입수학 기출문제 16번 풀이
구하는 적분값을 $I$라 하자. $t=\frac{\pi}{2}-x$로 치환하면
$$\begin{align}
I &= \int_0^{\frac{\pi}{2}}\frac{\sqrt{\sin x}}{\sqrt{\sin x}+\sqrt{\cos x}}dx \\
&= I
\end{align}$$
이다. 이제 첫 번째 줄(치환 전)의 $I$와 두 번째 줄(치환 후)의 $I$를 더하면
$$\begin{align}
2I &= \int_0^{\frac{\pi}{2}} \frac{\sqrt{\sin x}+\sqrt{\cos x}}{\sqrt{\sin x}+\sqrt{\cos x}}dx \\
&= \int_0^{\frac{\pi}{2}}1 dx \\
&= \frac{\pi}{2}
\end{align}$$
이다. 따라서 $I = \frac{\pi}{4}$가 구하는 적분값이다.
2021 항공대학교 편입수학 기출문제 17번 풀이
주어진 벡터장은 보존적이고, 그 포텐셜함수는 $f(x,y,z)=xyz$이다.
따라서 선적분의 기본정리로부터 주어진 선적분은
$$\begin{align}
\text{(Integral)} &= f(x,y,z)\bigg|_{(1,1,1)}^{(2,4,8)} \\
&= 64 - 1 \\
&= 63
\end{align}$$
이다.
2021 항공대학교 편입수학 기출문제 18번 풀이
구하는 값을 다시 쓰면
$$(\det A)^2 + 1$$
와 같다. 한편 (계산 노가다를 통해) $\det A=-8$임을 알 수 있으므로 구하는 값은 $65$이다.
2021 항공대학교 편입수학 기출문제 19번 풀이
$\text{div}F = 5$이므로 발산정리로부터 주어진 면적분은
$$\begin{align}
\text{(Integral)} &= \iiint_{x^2 + y^2}^1 5 dzdxdy \\
&= 5\iint_{x^2 + y^2 \leq 1} (1-x^2 - y^2)dxdy \\
&= 5\int_0^{2\pi}\int_0^1 r(1-r^2)drd\theta \\
&= \frac{5}{2}\pi
\end{align}$$
이다.
2021 항공대학교 편입수학 기출문제 20번 풀이
주어진 삼중적분의 값은
$$\begin{align}
\text{(Integral)} &= \int_0^1 \int_0^{y^2} \int_0^{1-y} (1-z)^2 e^{y^3} dzdxdy \\
&= \frac{1}{3}\int_0^1 \int_0^{y^2} (1-y^3)e^{y^3}dxdy \\
&= \frac{1}{3}\int_0^1 y^2(1-y^3)e^{y^3}dy \\
&= \fraC{1}{9}\int_0^1 (1-t)e^tdt \quad (y^3 = t) \\
&= \frac{1}{9}(e-2)
\end{align}$$
이다.
마치며
이상으로 2021 항공대학교 편입수학 기출문제 정답 및 해설을 마치겠습니다.
오류, 오타 또는 궁금하신 점이 있으시면 댓글로 남겨주세요~
년도별 항공대학교 편입수학 정답 및 해설 (클릭시 이동)
(2012~2016년 항공대 해설은 제 블로그의 '항공대' 카테고리를 참고하세요.)
- 2017 항공대학교 편입수학 기출문제 정답 및 해설
- 2018 항공대학교 편입수학 기출문제 정답 및 해설
- 2019 항공대학교 편입수학 기출문제 정답 및 해설
- 2020 항공대학교 편입수학 기출문제 정답 및 해설
- 2021 항공대학교 편입수학 기출문제 정답 및 해설 (현재)
- 2022 항공대학교 편입수학 기출문제 정답 및 해설
- 2023 항공대학교 편입수학 기출문제 정답 및 해설
- 2024 항공대학교 편입수학 기출문제 정답 및 해설
'편입수학 기출문제 풀이 > 항공대' 카테고리의 다른 글
| [편입] 2014 항공대학교 편입수학 기출문제 정답 및 해설 (풀이) (0) | 2024.03.18 |
|---|---|
| [편입] 2023 항공대학교 편입수학 기출문제 정답 및 해설 (풀이) (3) | 2023.12.12 |
| [편입] 2022 항공대학교 편입수학 기출문제 정답 및 해설 (풀이) (0) | 2023.12.11 |
| [편입] 2013 항공대학교 편입수학 기출문제 정답 및 해설 (풀이) (0) | 2023.11.24 |
| [편입] 2012 항공대학교 편입수학 기출문제 정답 및 해설 (풀이) (0) | 2023.11.23 |